10
Вычисли с проверкой.
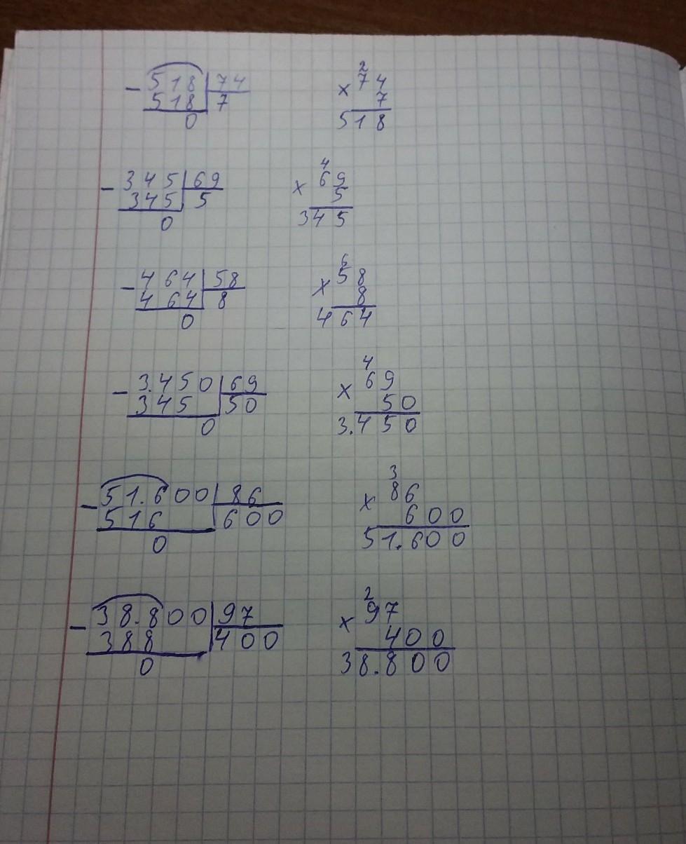
518 : 74
345 : 69
464:58
3 450 : 69
51 600 : 86
38 800 : 97 можете столбиком ппоожжааллууйййссттаааааа за 30 минут далиииии
Ответы
Ответ дал:
18
Ответ:
вот
Пошаговое объяснение:
это правильный ответ.
Приложения:

otabekmominov:
я вычислил с проверкой)))
Вас заинтересует
2 года назад
2 года назад
2 года назад
7 лет назад
7 лет назад
9 лет назад