• Предмет: Математика
  • Автор: thesamperplay
  • Вопрос задан 3 года назад

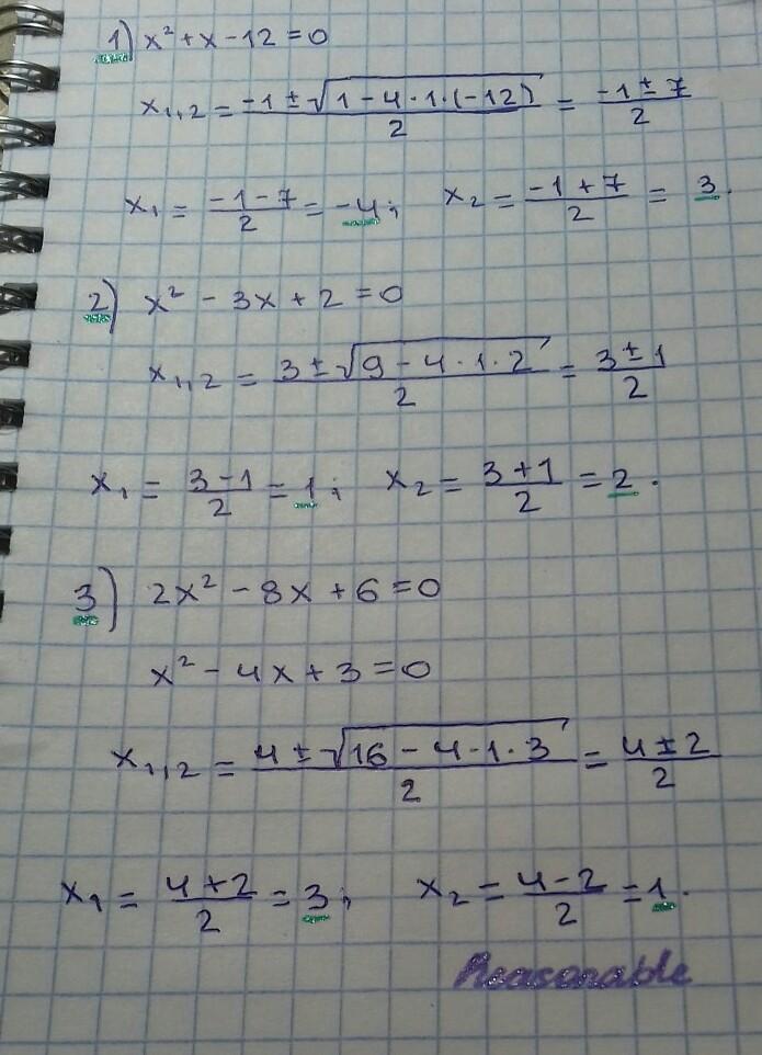
Помогите пожалуйста решить 1,2,3 пример

Приложения:

Ответы

Ответ дал: Applegate
10

Решения и ответы на фотографии

Приложения:
Вас заинтересует