Ответы
Ответ дал:
5
Ответ:
нашла в нете
Пошаговое объяснение:
надеюсь правильно
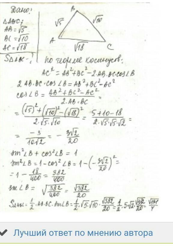
Приложения:

Ответ дал:
2
Ответ:
1) Опустите⊥ из точки ВД на сторону АС
2)Получите два прямоугольных треугольника : ΔАВД и ΔСВД
3) В этих треугольниках сторона ВД(высота)-общая
4) Теперь выразим ВД по отдельности из двух этих треугольников и эти выражения приравняем
5) Замечание: катет АД в ΔАВД примем за х
6) из ΔАВД: (ВД)²=5-х²
7) из ΔСВД: (ВД)²=10-(√18-х)²
8) (ВД)²=(ВД)² или 5-х²=10-(√18-х)² или 5-х²=10-18+2√18·х-х² ⇒ х·(6√2)=13 ⇒ х=13/(6√2)
9) подставляя найденное значение х в (6) получим: ВД=√(191/72)
10) площадь ΔАВС выразится как (АС·ВД)/2=√(191/16)=3,455
Пошаговое объяснение:
Вас заинтересует
2 года назад
2 года назад
2 года назад
7 лет назад
7 лет назад
9 лет назад
9 лет назад