• Предмет: Математика
  • Автор: vinogradinka82z43
  • Вопрос задан 3 года назад

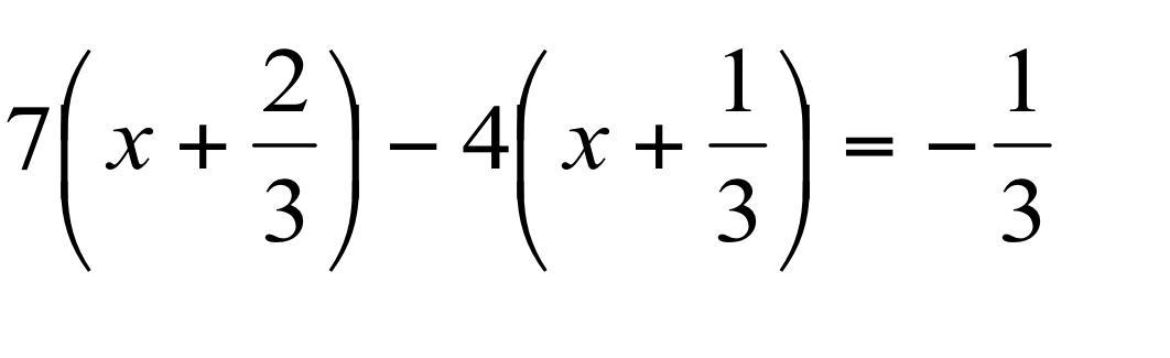
Реши уравнение
7(x + 2/3) - 4(x + 1/3) = -1/3

Приложения:

Ответы

Ответ дал: LoloшkaxD
0

7( x+ 2/3) - 4( x+ 1/3) = -1/3

7x + 14/3 - 4x - 4/3 = -1/3

3x + \frac{10}{3} = -1/3

3x = -1/3 - \frac{10}{3}

3x = -\frac{11}{3}

x=  - \frac{11}{9}

Ответ дал: baitoreb2003
0

Ответ:-11/9 или -1 2/9 будет

Это точно правильно!

Вас заинтересует