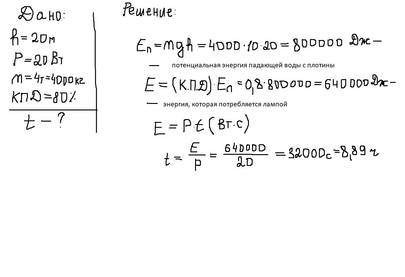
Высота плотины гидроэлектростанции (ГЭС) составляет 20 м. Сколько часов может светить лампа мощностью 20 Вт при прохождении через плотину 4 т воды? КПД ГЭС равен 80%
Распишите пожалуйста с Дано, Решением.
Ответы
Ответ дал:
0
Ответ:
решение с ответом смотреть на картинке
Объяснение:
Приложения:

Вас заинтересует
2 года назад
2 года назад
2 года назад
2 года назад
7 лет назад
7 лет назад
9 лет назад