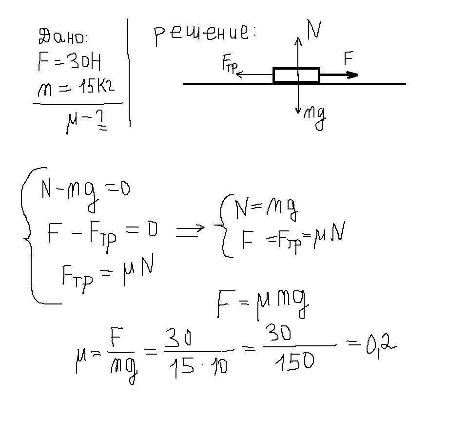
2.Мальчик толкает санки с силой 30Н и санки равномерно катятся по снегу, масса санок 15 кг.
определите коэфициент трение санок о снег.
Ответы
Ответ дал:
0
Ответ:
решение и ответ на картинке смотреть
Объяснение:
Приложения:

Вас заинтересует
2 года назад
2 года назад
2 года назад
7 лет назад
9 лет назад