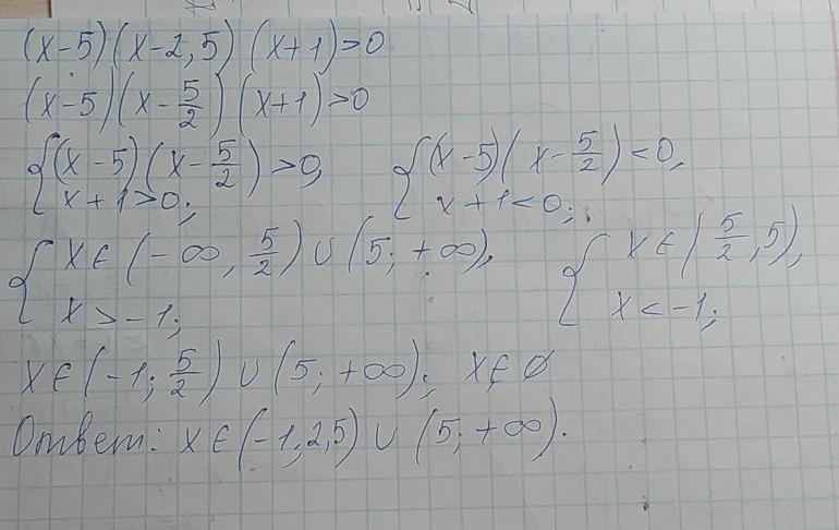
ПВыберите решение неравенства (x-5)(x-2,5)(x+1)>0
а) (-1 ; 5)
б) (2,5 ; 5)
в) 2
г) (-1 ; 2,5)U(5 ; +ထ)
Ответы
Ответ дал:
8
Решение на фото
Ответ:Г)(-1;2,5)U(5;+∞)
Не забудь оценить мой ответ, заранее спасибо!
Приложения:

Вас заинтересует
2 года назад
2 года назад
2 года назад
2 года назад
7 лет назад