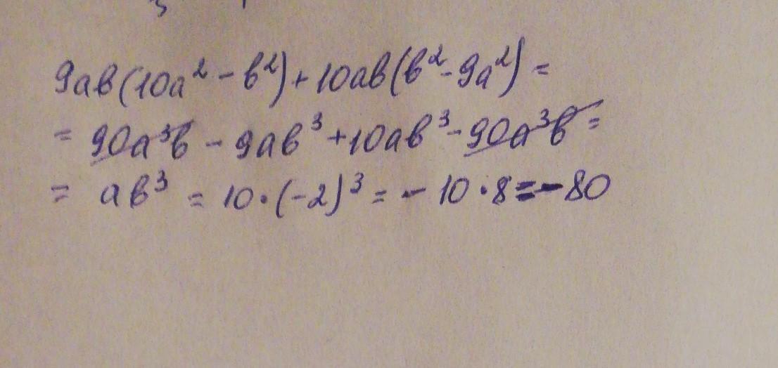
Найди значение алгебраического выражения
9ab(10a2−b2)+10ab(b2−9a2)
при a=10,b=−2.
Значение выражения равно
.
Приложения:

Ответы
Ответ дал:
0
Ответ:
Объяснение:
.....
Приложения:

Ответ дал:
1
Ответ:
- 80
Объяснение:
Смотри решение на фото
Приложения:

serovaksusa1:
посмотрите подошёл ответ и мне напишите
Вас заинтересует
2 года назад
2 года назад
2 года назад
7 лет назад
9 лет назад