• Предмет: Алгебра
  • Автор: saourjrjm98144
  • Вопрос задан 3 года назад

Запишите разность данных многочленов и упрости​

Приложения:

Ответы

Ответ дал: anastasia09258
1

Ответ:

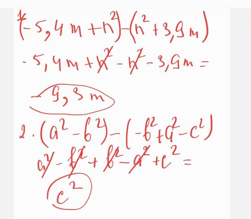
-9,3 m и с^2

сначала раскрывает, потом сокращаешь

и все

Приложения:

anastasia09258: 3. 3x^2-6x+2-x^2+7x-5= 4x^2+x-3
anastasia09258: 2x^2+x-3*
Ответ дал: rybkadarina
2

Ответ:

1) -5,4m + n^2 - (n^2 + 3,9m) = -5,4m + n^2 - n^2 - 3,9m = -5,4m - 3,9m = - 9,3m

2) a^2 - b^2 - (-b^2 + a^2 - c^2) = a^2 - b^2 - b^2 - a^2 + c^2 = c^2

3) 3x^2 - 6x + 2 - (x^2 - 7x + 5) = 3x^2 - 6x + 2 - x^2 + 7x - 5 = 2x^2 + x - 3

отметь как лучшее, пожалуйста:)

Вас заинтересует