Ответы
Ответ дал:
4
Ответ:
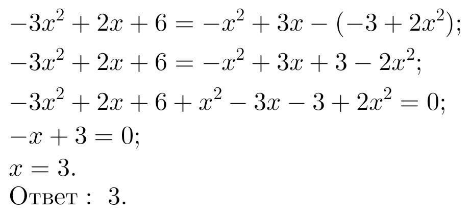
х=3
Объяснение:
решение в файле !!!
Приложения:

Ответ дал:
3
~~~~~~~~~~~~~~~~~~~~
Приложения:

Вас заинтересует
2 года назад
2 года назад
2 года назад
2 года назад
7 лет назад
9 лет назад