• Предмет: Математика
  • Автор: zhannur009
  • Вопрос задан 3 года назад

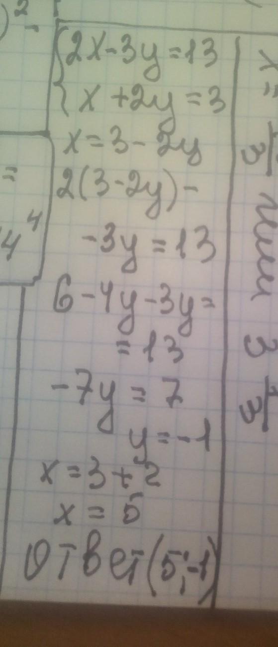
(2x – 3y = 13
Решите систему уравнений:
x+2y = 3​


Sofia12092009: извини я не знаю
Sofia12092009: =)
Sofia12092009: пока

Ответы

Ответ дал: ColdMand
0

Ответ:

(15,-1)

Пошаговое объяснение:

{2x-3y=13,

{x+2y=3. Выразим x из второго уравнения:

x=3-2y и подставим в первое:

2(3-2y)-3y=13

-7y=7

y=-1

x+2(-1)=3

x=5

Ответ дал: manyny06
0

Ответ:

решение на фотографии

Приложения:
Вас заинтересует