• Предмет: Алгебра
  • Автор: sweev2005
  • Вопрос задан 3 года назад

Алгебра 10 клас оччень надо​

Приложения:

Ответы

Ответ дал: MatemaT123
1

Ответ:

3; \quad 10; \quad 3;

Объяснение:

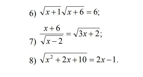
6) Так как произведение корней принимает положительное значение, то и сами корни принимают положительные значения ⇒ подкоренные выражения также положительны.

ОДЗ:

\left \{ {{x+1>0} \atop {x+6>0}} \right. \Leftrightarrow \left \{ {{x>-1} \atop {x>-6}} \right. \Leftrightarrow x> -1 \Leftrightarrow x \in (-1; +\infty);

Решение:

\sqrt{x+1}\sqrt{x+6}=6;

(\sqrt{x+1}\sqrt{x+6})^{2}=6^{2};

(\sqrt{x+1})^{2} \cdot (\sqrt{x+6})^{2}=36;

(x+1)(x+6)=36;

x^{2}+6x+x+6-36=0;

x^{2}+7x-30=0;

\left \{ {{x_{1}+x_{2}=-7} \atop {x_{1} \cdot x_{2}=-30}} \right. \Leftrightarrow \left \{ {{x_{1}=-10} \atop {x_{2}=3}} \right. ;

Корень x₁ не удовлетворяет ОДЗ.

7) Знаменатель дроби не равен нулю ⇒ подкоренное выражение строго больше 0. Подкоренное выражение правой части уравнения также строго больше 0, поскольку, в противном случае, значение числителя равно 0, отсюда выходит, что "х" принимает отрицательное значение, что противоречит ОДЗ подкоренного выражения знаменателя дроби.

ОДЗ:

\left \{ {{x-2>0} \atop {3x+2>0}} \right. \Leftrightarrow \left \{ {{x>2} \atop {x>-\frac{2}{3}}} \right. \Leftrightarrow x>2 \Leftrightarrow x \in (2; +\infty);

Решение:

\frac{x+6}{\sqrt{x-2}}=\sqrt{3x+2};

x+6=\sqrt{x-2} \cdot \sqrt{3x+2};

(x+6)^{2}=(\sqrt{x-2} \cdot \sqrt{3x+2})^{2};

x^{2}+12x+36=(\sqrt{x-2})^{2} \cdot (\sqrt{3x+2})^{2};

x^{2}+12x+36=(x-2)(3x+2);

x^{2}+12x+36=3x^{2}+2x-6x-4;

x^{2}-3x^{2}+12x-2x+6x+36+4=0;

-2x^{2}+16x+40=0;

x^{2}-8x-20=0;

\left \{ {{x_{1}+x_{2}=8} \atop {x_{1} \cdot x_{2}=-20}} \right. \Leftrightarrow \left \{ {{x_{1}=-2} \atop {x_{2}=10}} \right. ;

Корень x₁ не удовлетворяет ОДЗ.

8) ОДЗ:

2x-1\geq0;

2x\geq1;

x\geq\frac{1}{2};

Решение:

\sqrt{x^{2}+2x+10}=2x-1;

(\sqrt{x^{2}+2x+10})^{2}=(2x-1)^{2};

x^{2}+2x+10=4x^{2}-4x+1;

x^{2}-4x^{2}+2x+4x+10-1=0;

-3x^{2}+6x+9=0;

x^{2}-2x-3=0;

\left \{ {{x_{1}+x_{2}=2} \atop {x_{1} \cdot x_{2}=-3}} \right. \Leftrightarrow \left \{ {{x_{1}=-1} \atop {x_{2}=3}} \right. ;

Корень x₁ не удовлетворяет ОДЗ.

Вас заинтересует