• Предмет: Математика
  • Автор: lolo242
  • Вопрос задан 3 года назад

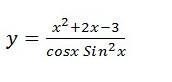
помогите нужно проверить функцию на четность ​

Приложения:

Ответы

Ответ дал: IlyaKhar
1

Ответ:

Функция общего вида.

Пошаговое объяснение:

f(-x)=\frac{(-x)^{2}+2(-x)-3 }{cos(-x)*sin^{2}(-x) } =\frac{x^{2}-2x-3 }{cos(x)*sin^{2}(x) } \neq f(x)\neq -f(x)

x в квадрате  минус убирает, косинус - четная функция, т.е. минус у аргумента убирает. Синус - нечетная функция, но т.к. он в квадрате минус тоже теряется. А вот минус у х в числителе не пропадает.


lolo242: я это сделал, но в итоге это нечетная функция получается, или какая?
IlyaKhar: И не четная и не нечетная. Она будет функцией общего вида.
lolo242: ок, спасибо
Вас заинтересует