Ответы
Ответ дал:
1
Ответ:
Пошаговое объяснение:
!!!!!!!!!!!!!!!!!!!!!!
Приложения:

Ответ дал:
1
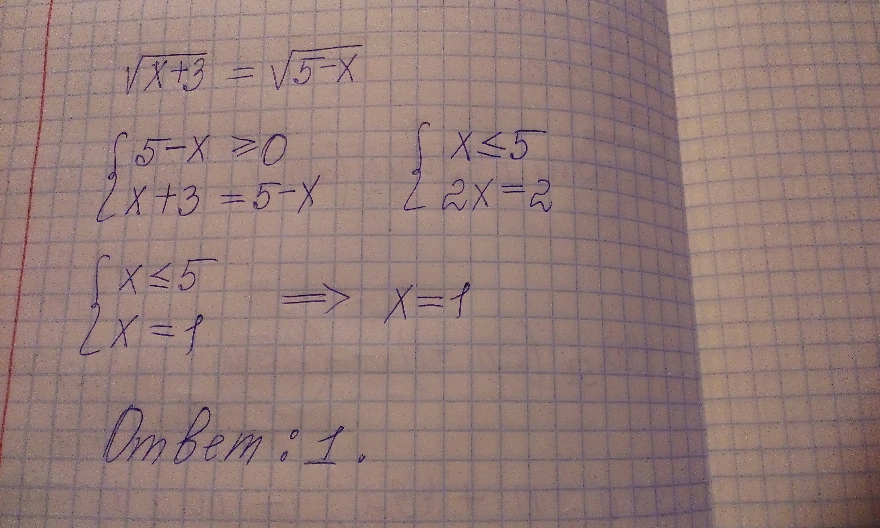
Чтобы решить данное уравнение, нужно обе части уравнения возвести в квадрат (в квадрат, потому что мы имеем дело с квадратными корнями второй степени):
Ответ: 1
Вас заинтересует
2 года назад
2 года назад
2 года назад
7 лет назад
9 лет назад
Гораздо проще возвести обе части в квадрат. А так да, всё верно