• Предмет: Математика
  • Автор: MolkyWay
  • Вопрос задан 3 года назад

ПОМОГИТЕ СРОЧНО!!!!!!!!! ОЧЕНЬ НАДО!!!

Приложения:

Ответы

Ответ дал: Simba2017
0

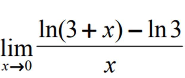
использую эквивалентность

ln(1+x) эквивалентно x

тогда в числителе

ln(3(1+x/3))-ln3=ln3+ln(1+x/3)-ln3=ln(1+x/3) эквивалентно x/3

lim[ (x/3)/x]=1/3

Вас заинтересует