• Предмет: Математика
  • Автор: onelove1983
  • Вопрос задан 3 года назад

Помогите пожалуйста с решением двух тригонометрических уравнений!
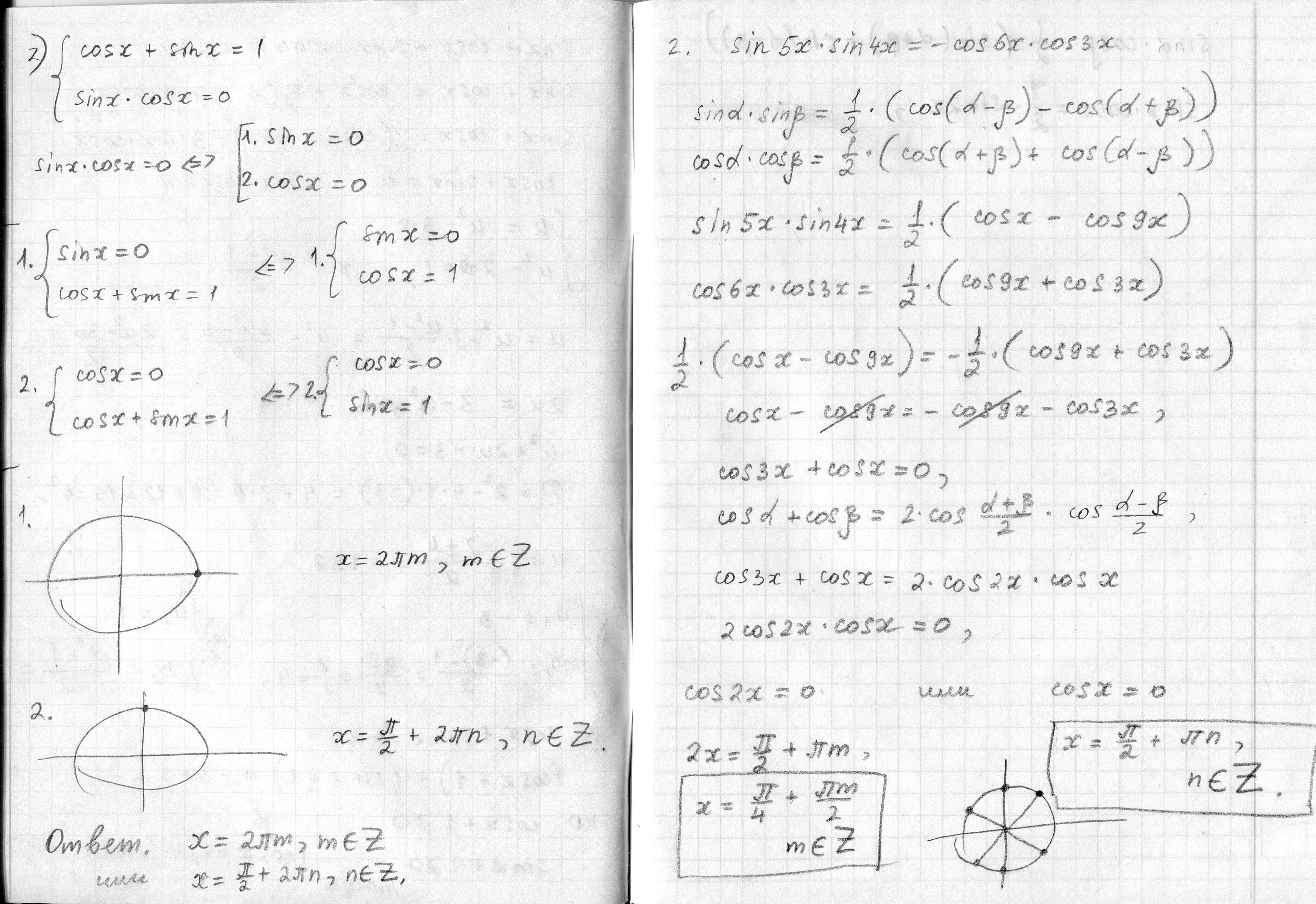
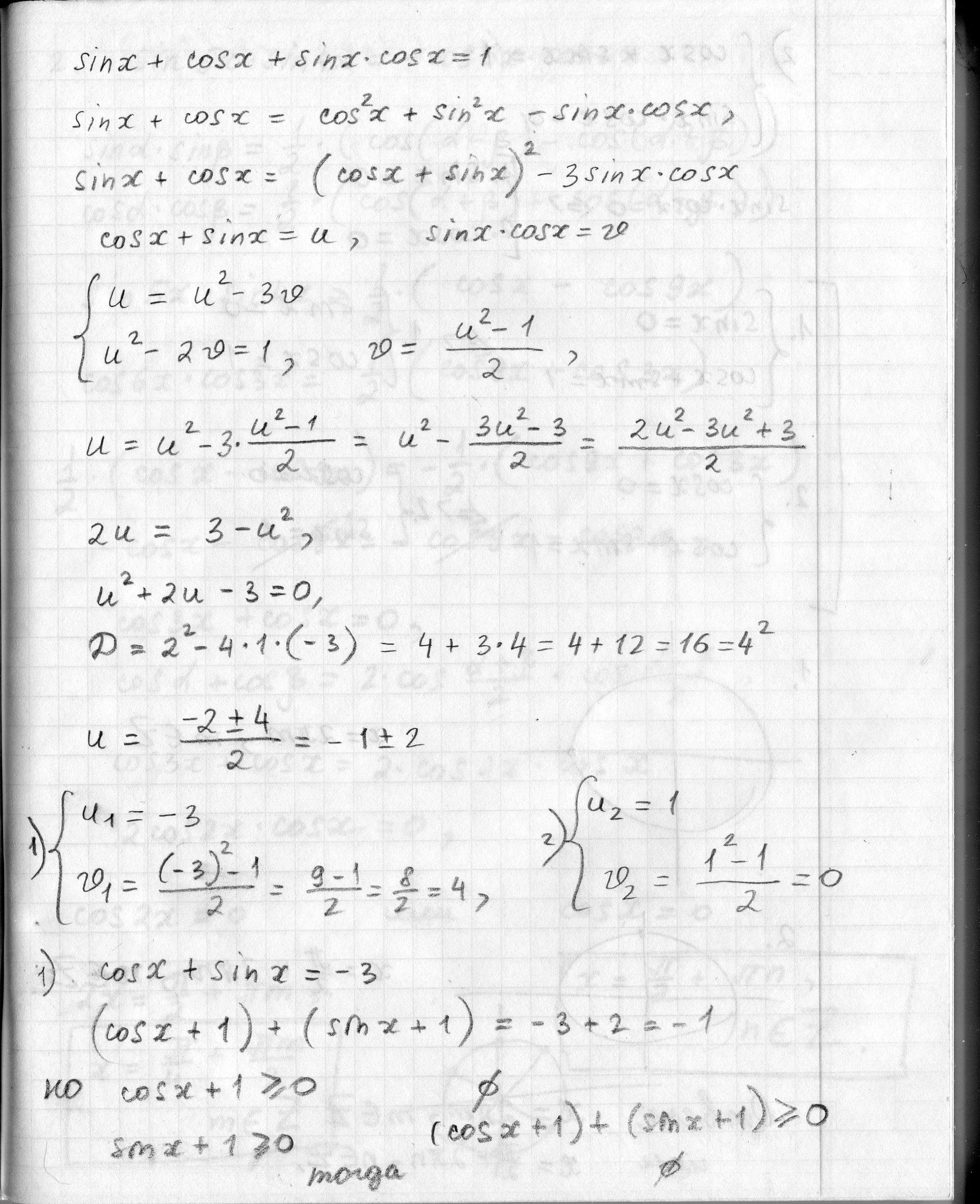
1) sin x + cos x + sin x cos x = 1.

2) sin 5x sin 4x = - cos 6x cos 3x.

Ответы

Ответ дал: Аноним
1

я написал решение на двух листках ===>>

Приложения:

onelove1983: Спасибо большое! ;)
Вас заинтересует