• Предмет: Алгебра
  • Автор: mddda
  • Вопрос задан 3 года назад

ПОМОГИТЕ!!! КТО СДЕЛАЕТ 1,2,4 ДАМ 100 БАЛЛОВ

Приложения:

kayemelyanenko: тут 50 баллов как ты их накопил
Аноним: Тут 100 баллов.

Ответы

Ответ дал: manyny06
0

Ответ:

решение на фотографии

Приложения:
Ответ дал: NNNLLL54
0

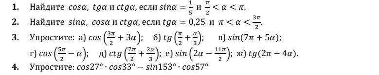
1)\ \ sina=\dfrac{1}{5}\\\\\\\dfrac{\pi}{2}<a<\pi \ \ \to \ \ \ \ cosa<0\ ,\ tga<0\ ,\ ctga<0\\\\\\cosa=-\sqrt{1-sin^2a}=-\sqrt{1-\dfrac{1}{25}}=-\sqrt{\dfrac{24}{25}}=-\dfrac{2\sqrt6}{5}\\\\\\tga=\dfrac{sina}{cosa}=\dfrac{1/5}{-2\sqrt6/5}=-\dfrac{1}{2\sqrt6}=-\dfrac{\sqrt6}{12}\\\\\\ctga=\dfrac{1}{tga}=-\dfrac{12}{\sqrt6}=-2\sqrt6

2)\ \ tga=0,25=\dfrac{1}{4}\\\\\pi <a<\dfrac{3\pi}{2}\ \ \to \ \ \ \ sina<0\ ,\ \ cosa<0\ ,\ \ ctga>0\\\\\\1+tg^2a=\dfrac{1}{cos^2a}\ \ \to \ \ cos^2a=\dfrac{1}{1+tg^2a}=\dfrac{1}{1+\frac{1}{16}}=\dfrac{16}{17}\ ,\\\\\\cosa=-\sqrt{\dfrac{16}{17}}=-\dfrac{4}{\sqrt{17}}=-\dfrac{4\sqrt{17}}{17}<0\\\\\\sina=-\sqrt{1-cos^2a}=-\sqrt{1-\dfrac{16}{17}}=-\sqrt{\dfrac{1}{17}}=-\dfrac{\sqrt{17}}{17}<0\\\\\\ctga=\dfrac{1}{tga}=\dfrac{1}{1/4}=4

4)\ \ cos27^\circ \cdot cos33^\circ -sin153^\circ \cdot cos57^\circ =\\\\=cos27^\circ \cdot cos33^\circ -sin(180^\circ -27^\circ )\cdot cos(90^\circ -33^\circ )=\\\\=\underbrace {cos27^\circ \cdot cos33^\circ -sin27^\circ \cdot sin33^\circ }_{cos\alpha \cdot cos\beta -sin\alpha \cdot sin\beta }=\underbrace {cos(27^\circ +33^\circ )}_{cos(\alpha +\beta )}=cos60^\circ =\dfrac{1}{2}

Вас заинтересует