• Предмет: Математика
  • Автор: Otlichnik12221
  • Вопрос задан 3 года назад

Определи косинус острого угла, если дан синус того же угла.

(Дробь сокращать не нужно.)

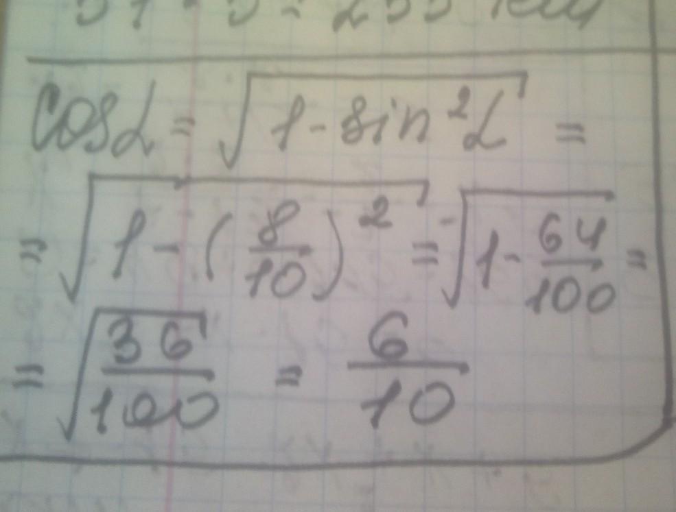
Ответ: если sinα=8/10, то cosα=
.

Ответы

Ответ дал: virgin1a
4

6/10, пояснения на фото

Приложения:

Otlichnik12221: Спасибо!
virgin1a: отметьте тут как лучший пожалуйста
virgin1a: ♡♡♡
Otlichnik12221: держи
virgin1a: спасибо
Otlichnik12221: Спасаешь меня
virgin1a: :Зз
Аноним: спс
Ответ дал: manyny06
1

Ответ:

решение на фотографии

Приложения:

Otlichnik12221: Спасибо!
Вас заинтересует