• Предмет: Математика
  • Автор: barbaris2523
  • Вопрос задан 3 года назад

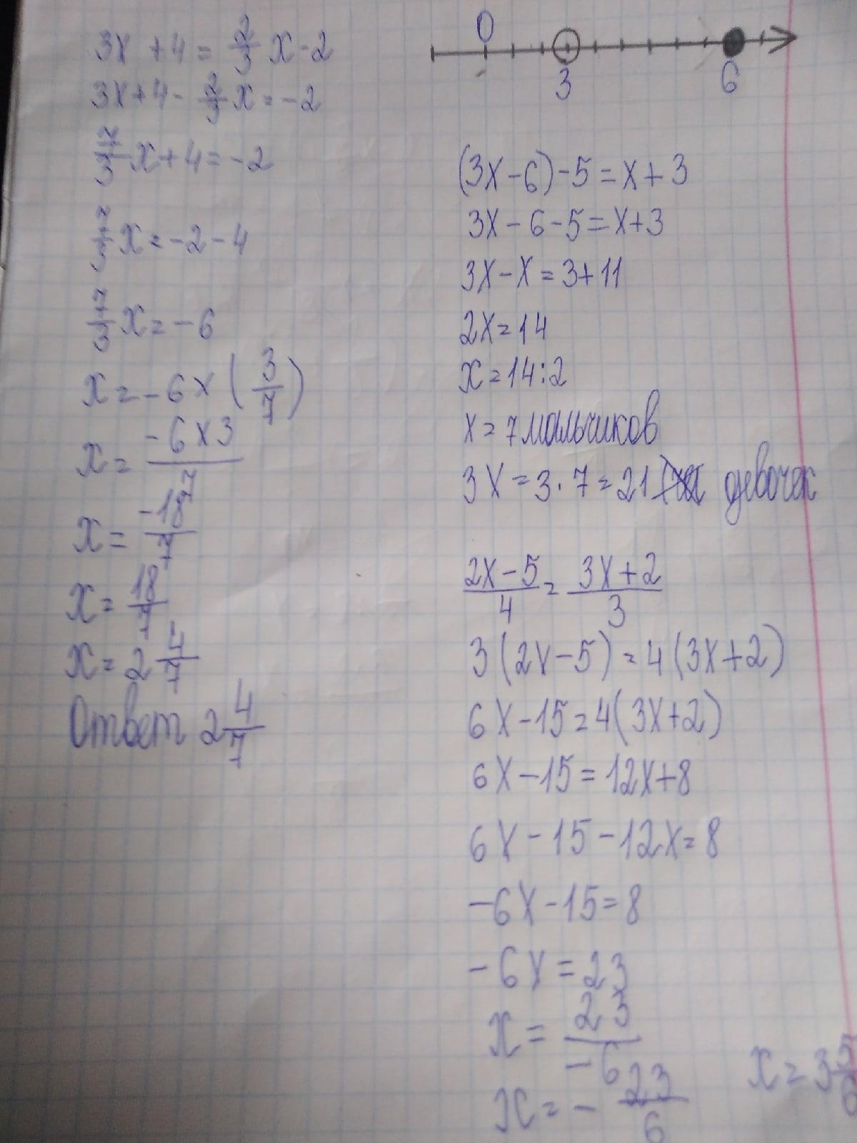
Правильно сделал или не правильно?помогите

Приложения:

Ответы

Ответ дал: alinargebaeva75
1

Ответ:Ты в 1 и 4

задании потерял минусы в ответах

Пошаговое объяснение:


barbaris2523: просто надо к ответу минус добавить?
alinargebaeva75: Да
serovaksusa1: на координатной прямой, если квадратная скобка стоит, то точка жакрашиваптся, а если скобка круглая, то не закрашивается. а у вас все наоборот
serovaksusa1: закрасьте левую точку 3,а правую не закрашивайте
Ответ дал: serovaksusa1
1

Ответ:

Смотри решение на фото

Приложения:
Вас заинтересует