Ответы
Ответ дал:
2
Ответ:
Объяснение:
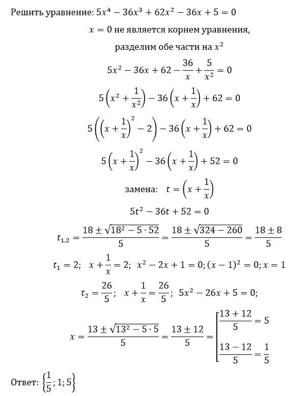
......................................
Приложения:

Вас заинтересует
2 года назад
2 года назад
2 года назад
7 лет назад
7 лет назад