Ответы
Ответ дал:
0
Ответ:
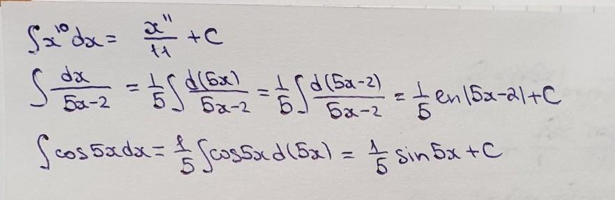
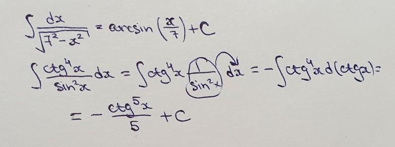
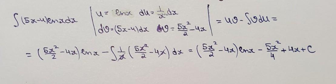
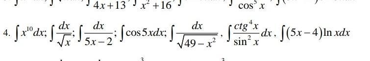
решение на фотографиях
Приложения:



klemenkonasta050:
спасибо большое ❤️
Вас заинтересует
2 года назад
2 года назад
2 года назад
7 лет назад
7 лет назад
9 лет назад