• Предмет: Алгебра
  • Автор: sweev2005
  • Вопрос задан 3 года назад

помогите очень надо ​

Приложения:

Ответы

Ответ дал: RussianWanderer
1

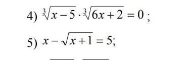
4)

\sqrt[3]{x-5} *\sqrt[3]{6x+2}=0\\\left \{\sqrt[3]{x-5}=0  \atop \sqrt[3]6x+2}=0} \right. \\\left \{ {{x-5=0} \atop {6x-2=0}} \right. \\\left \{ {{x=5} \atop {6x=-2}} \right. \\\left \{ {{x=5} \atop {x=-\frac{1}{3} }} \right.

5)

x-\sqrt{x+1}=5\\-\sqrt{x+1}=5-x\\\sqrt{x+1}=-5+x\\x+1=x^{2} -10x+25\\x+1-x^{2} +10x-25=0\\11x-x^{2} -24=0\\x^{2} -11x+24=0\\x^{2} -3x-8x+24=0\\x(x-3)-8(x-3)=0\\(x-3)(x-8)=0\\\left \{ {{x-3=0} \atop {x-8=0}} \right. \\\left \{ {{x=3} \atop {x=8}} \right.

Проверим:

\left \{ {{3-\sqrt{3+1} =5} \atop {8-\sqrt{8+1} =5}} \right. \\\left \{ {{3-\sqrt{4} =5} \atop {8-\sqrt{9} =5}} \right. \\\left \{ {{3-2=5} \atop {8-3=5}} \right. \\\left \{ {{1=5} \atop {5=5}} \right. \\

x = 3 не является решением

x = 8 является решением

x = 8

Вас заинтересует