• Предмет: Физика
  • Автор: agoncarov1973
  • Вопрос задан 3 года назад

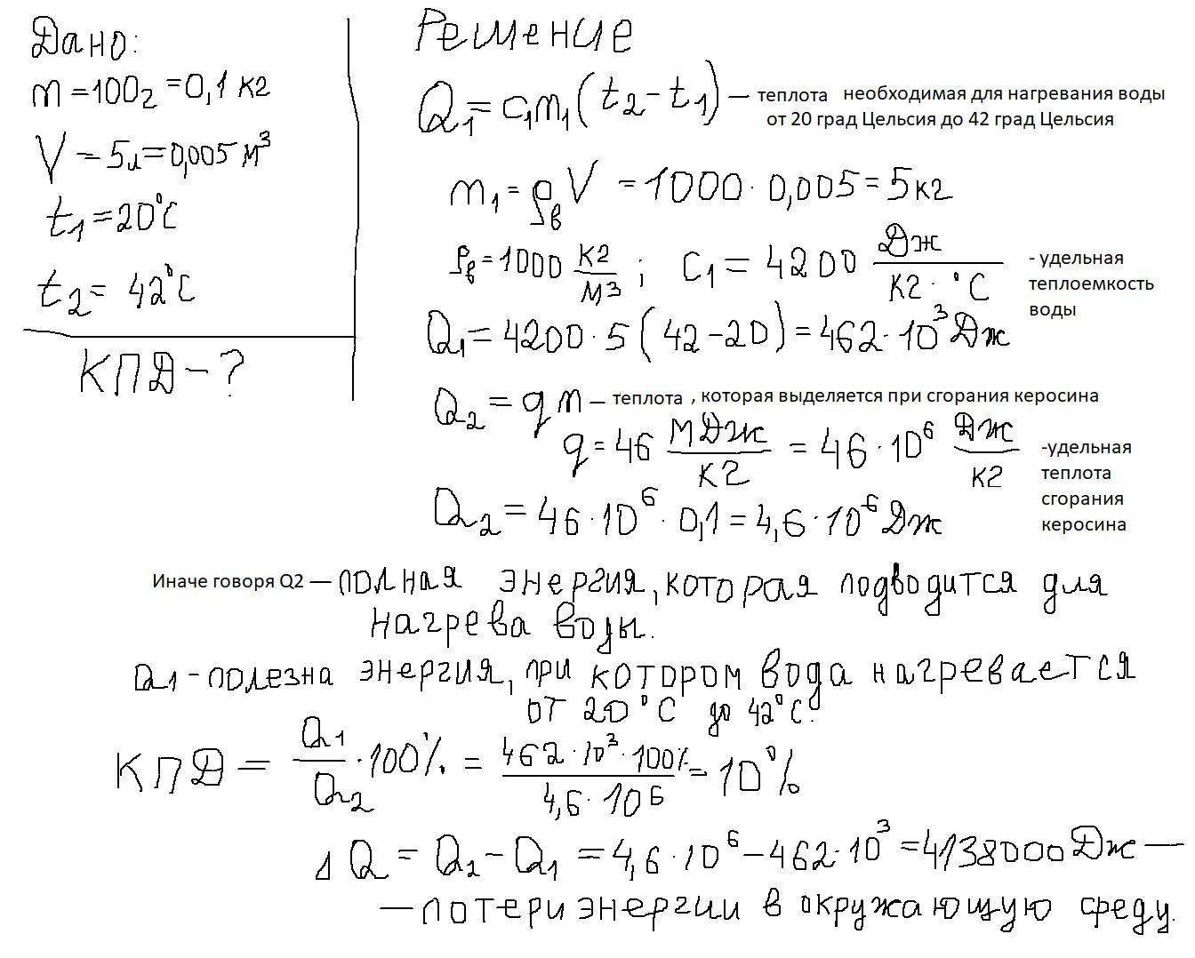
Найти КПД керогаза, если при сжигании 100г керосина на нем нагревается 5 л воды от 20 С до 42 С?

Ответы

Ответ дал: ssroman72
3

Ответ:

Решение смотреть на рисунке

Объяснение:

Приложения:
Вас заинтересует