Ответы
Ответ дал:
2
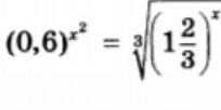
Решение прикреплено
P.S Не забудь оценить мой ответ,заранее спасибо!
Приложения:

Вас заинтересует
2 года назад
2 года назад
7 лет назад
9 лет назад