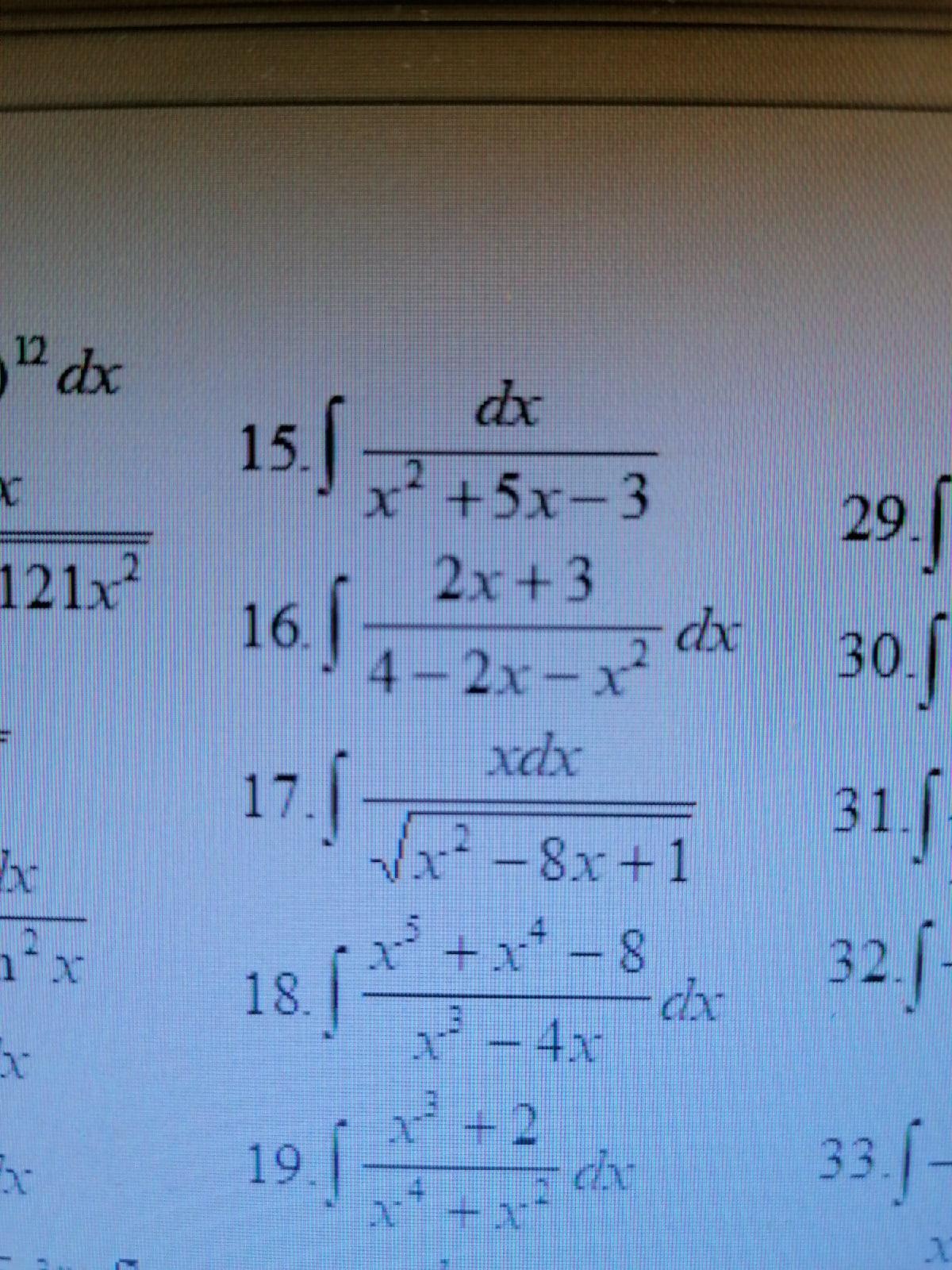
Помогите решить один интеграл, очень срочно! Под номером 15
Отдаю все баллы что есть
Приложения:

Ответы
Ответ дал:
1
Ответ:
Выделим в знаменателе квадрат суммы:
Когда подставим это в интеграл, можно будет заметить в нем табличный:
Получаем:
NamiSupport:
Спасибо большое)
Вас заинтересует
2 года назад
2 года назад
2 года назад
2 года назад
7 лет назад
9 лет назад