• Предмет: Математика
  • Автор: shatoshato1205
  • Вопрос задан 3 года назад

Решите удобным способом

Приложения:

Ответы

Ответ дал: ElectroM17
0

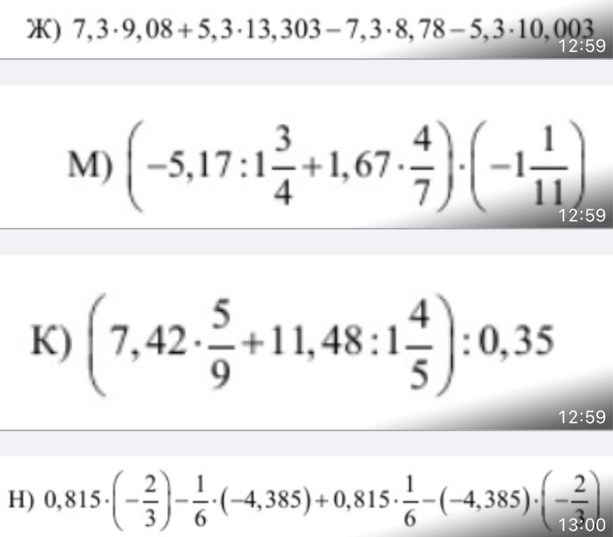
Ж) 7,3*9,08 + 5,3*13,303 - 7,3*8,78 - 5,3*10,003 = 125,7118

1) 7,3*9,08 = 66,284

2) 5,3*13,303 = 70,5059

3) 7,3*8,78 = 64,094

4) 5,3*10,003 = 53,0159

5) 66,284+70,5059 = 136,7899

6) 64,094-53,0159 = 11,0781

7) 136,7899-11,0781 = 125,7118

М) (-5,17 : \frac{7}{4} + 1,67 * \frac{4}{7}) * (-\frac{12}{11}) = 2\frac{1217}{5775}

1) -\frac{517}{100} * \frac{4}{7} = -\frac{517}{175}

2) \frac{167}{100} * \frac{4}{7} = \frac{167}{175}

3) -\frac{517}{175} + \frac{167}{175} = -\frac{350}{175} = -2

4) -\frac{2}{1} * (-\frac{12}{11}) = \frac{24}{11} = 2\frac{2}{11}      

К) (7,42 * \frac{5}{9} + 11,48 : \frac{9}{5}) : 0,35 = 30

1) \frac{742}{100} * \frac{5}{9} = \frac{742}{180}

2) \frac{1148}{100} * \frac{5}{9} = \frac{1148}{180}

3) \frac{742}{180} + \frac{1148}{180} = \frac{1890}{180} = 10,5

4) 10,5:0,35 = 30    

Н) 0,815 * (-\frac{2}{3}) - \frac{1}{6} * (-4,385) + 0,815 * \frac{1}{6} - (-4,385) * (-\frac{2}{3}) = -2,6

1) \frac{815}{1000} * (-\frac{2}{3}) = -\frac{815}{1500}

2) \frac{1}{6} * (-\frac{4385}{1000}) = -\frac{4385}{6000}

3) \frac{815}{1000} * \frac{1}{6} = \frac{815}{6000}

4) (-\frac{4385}{1000}) * (-\frac{2}{3}) = \frac{4385}{1500}

5) -\frac{815}{1500} + \frac{4385}{6000} = -\frac{3260}{6000} + \frac{4385}{6000} = \frac{1125}{6000} = 0,1875

6) \frac{815}{6000} - \frac{4385}{1500} = \frac{815}{6000} - \frac{17540}{6000} = -\frac{16725}{6000} = -2,7875

7) 0,1875 - 2,7875 = -2,6    

Вас заинтересует