• Предмет: Математика
  • Автор: Alisa14667
  • Вопрос задан 3 года назад

Решить уравнение методом Коши. Даю 50 баллов!

Приложения:

Ответы

Ответ дал: Miroslava227
1

Ответ:

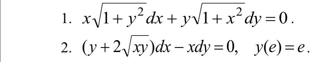
1)x \sqrt{1 +  {y}^{2} } dx + y \sqrt{1 +  {x}^{2} } dy = 0 \\ y \sqrt{1 +  {x}^{2} } dy =  - x \sqrt{1 +  {y}^{2} } dx \\  ∫\frac{ydy}{ \sqrt{1 +  {y}^{2} } }  = ∫ \frac{ - xdx}{ \sqrt{1 +  {x}^{2} } }  \\  \frac{1}{2} ∫ \frac{2ydy}{ \sqrt{1 +  {y}^{2} } }  =  -  \frac{1}{2} ∫ \frac{2xdx}{ \sqrt{ {x}^{2} + 1 } }  \\  \frac{1}{2} ∫ \frac{d( {y}^{2}  + 1)}{ \sqrt{1 +  {y}^{2} } }  =  -  \frac{1}{2} ∫ \frac{d( {x}^{2}  + 1)}{ \sqrt{1 +  {x}^{2} } }  \\  \frac{1}{2}  \frac{ {(1 +  {y)}^{ \frac{1}{2} } }}{ \frac{1}{2} }  =  -  \frac{1}{2}  \frac{ {( {x}^{2} + 1) }^{ \frac{1}{2} } }{ \frac{1}{2} }  + C \\  \sqrt{1 +  {y}^{2} }  =  -  \sqrt{1 +  {x}^{2} }  + C

Это общее решение.

2)(y + 2 \sqrt{xy} )dx - xdy = 0 \\ xdy = (y + 2 \sqrt{xy} )dx

Разделим обе части на х:

dy = ( \frac{y}{ x }   + 2 \sqrt{ \frac{xy}{ {x}^{2} } } )dx \\ y' =  \frac{y}{x}  + 2 \sqrt{ \frac{y}{x} }

Замена:

 \frac{y}{x}  = U \\ y' = U'x + U

U'x + U = U + 2 \sqrt{U }  \\ U'x = 2 \sqrt{U}  \\  \frac{dU}{dx} x = 2 \sqrt{U}  \\ ∫ \frac{dU}{ \sqrt{U} }  = 2∫ \frac{dx}{x}  \\ 2 \sqrt{U}  = 2 ln(x)  + C \\ 2 \sqrt{ \frac{y}{x} }  = 2 ln(x)  + C \\  \sqrt{ \frac{y}{x} }  =  ln(x)  + C

Это общее решение.

Задача Коши:

y(e) = e \\ 2 \sqrt{ \frac{e}{e} }  = 2 ln(e)  + C \\ 2 = 2 + C \\ C = 0

Получаем частное решение:

 \sqrt{ \frac{y}{x} }  =  ln(x)  \\  \frac{y}{x}  =  { ln(x) }^{2}  \\ y = x { ln(x) }^{2}

Вас заинтересует