Ответы
Ответ дал:
1
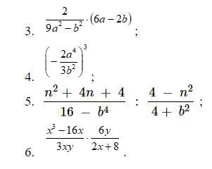
Пожалуйста. Надеюсь всë понятно.
Приложения:

Вас заинтересует
2 года назад
2 года назад
2 года назад
2 года назад
7 лет назад
9 лет назад