Ответы
Ответ дал:
2
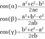
Ответ: Чтобы найти чему равен угол, надо сначала посчитать косинус угла 90 градусов, а потом использовать формулы из картинки.
А) Угол а равен 23 градусам.
Синус а = 0,39.
Косинус а = 0,92.
Тангенс а = 0,42.
Котангенс а = 2,36.
Б) Угол а равен 53 градуса.
Синус а = 0,80.
Косинус а = 0,60.
Тангенс а = 1,33.
Котангенс а = 0,75.
В) Треугольник не существует, так как 4 +6 = 10, а 8√2 = 11,31, а сумма 2 сторон треугольника должна быть больше одной стороны.
Г) Угол а равен 30 градусам.
Синус а = 0,50.
Косинус а = 0,87.
Тангенс а = 0,58.
Котангенс а = 1,73.
Приложения:

AneliyaIlyubayeva:
Спасибо тебе огромное
Вас заинтересует
2 года назад
7 лет назад
9 лет назад