Очень надо помогите пожалуйста
Приложения:

Kierra:
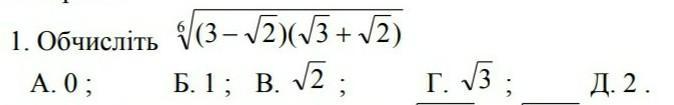
Очевидно, в условии ошибка. Не 3, а корень из трёх. Тогда ответ будет Б. 1.
Ответы
Ответ дал:
1
Ответ: Фото.
Объяснение:
Приложения:

Вас заинтересует
2 года назад
2 года назад
2 года назад
7 лет назад
7 лет назад