• Предмет: Алгебра
  • Автор: perederijaleksandra
  • Вопрос задан 3 года назад

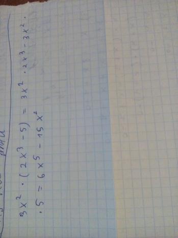
знайдіть добуток одночлена 3х² і двочлена (2х³-5)​

Ответы

Ответ дал: Miа16
7

Ответ: Фото.

Объяснение:

Приложения:
Вас заинтересует