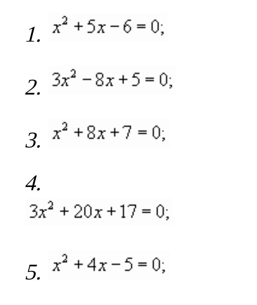
Решите квадратное уравнение с помощью свойства .
а±b+c=0 .
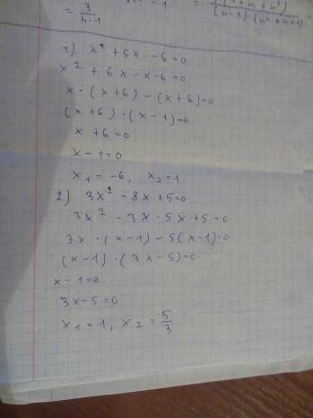
1.x²+5x-6=0
2.3x²-8x+5=0
3.x²+8x+7=0
4.3x²+20x+17=0
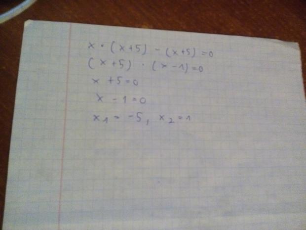
5.x²+4x-5=0
даю 15 баллов
Приложения:

Ответы
Ответ дал:
1
Ответ: Фото.
Объяснение:
Приложения:




Вас заинтересует
2 года назад
2 года назад
2 года назад
7 лет назад
7 лет назад
9 лет назад