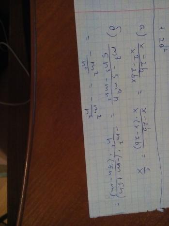
а) x-2b / x^2-2bx
б) m^3-5m^2n / 5n^3-mn^2
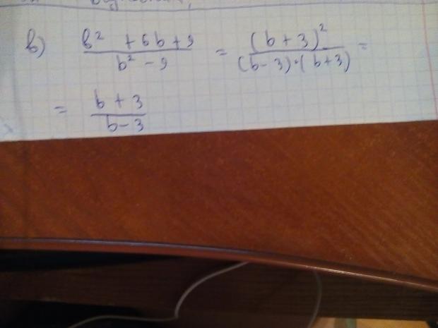
в) b^2+6b+9 / b^2-9
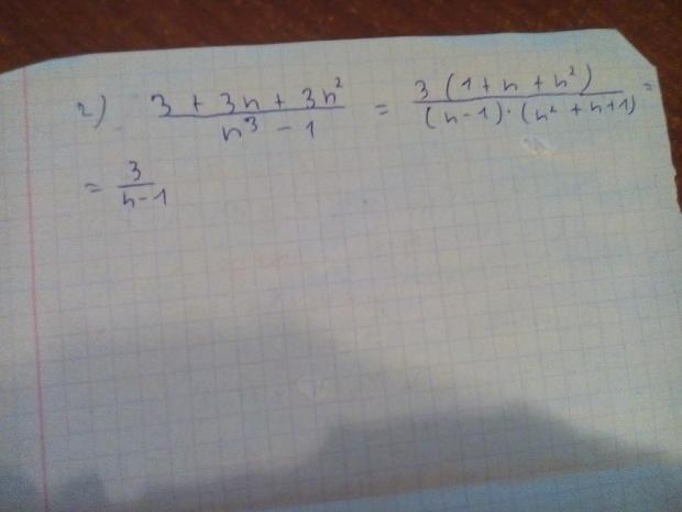
г) 3+3n+3n^2 / n^3-1
Помогите пожалуйста, срочно!
Ответы
Ответ дал:
0
Ответ: Фото.
Объяснение:
Приложения:



Вас заинтересует
2 года назад
2 года назад
2 года назад
2 года назад
7 лет назад
7 лет назад
9 лет назад