Алгебра......тригонометрические тождества преобразования формулы...
Приложения:

giperkip:
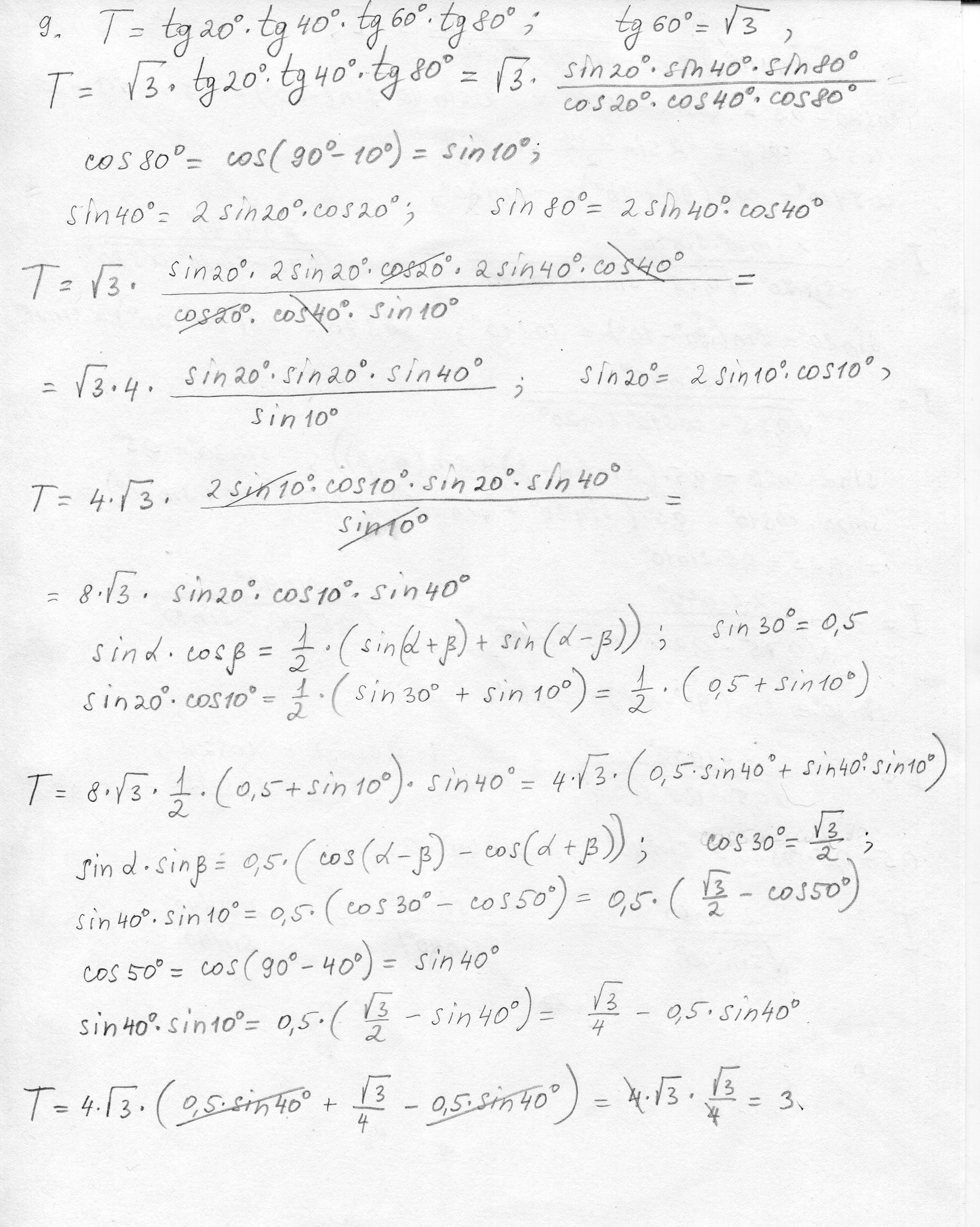
9) ответ 1
Ответы
Ответ дал:
1
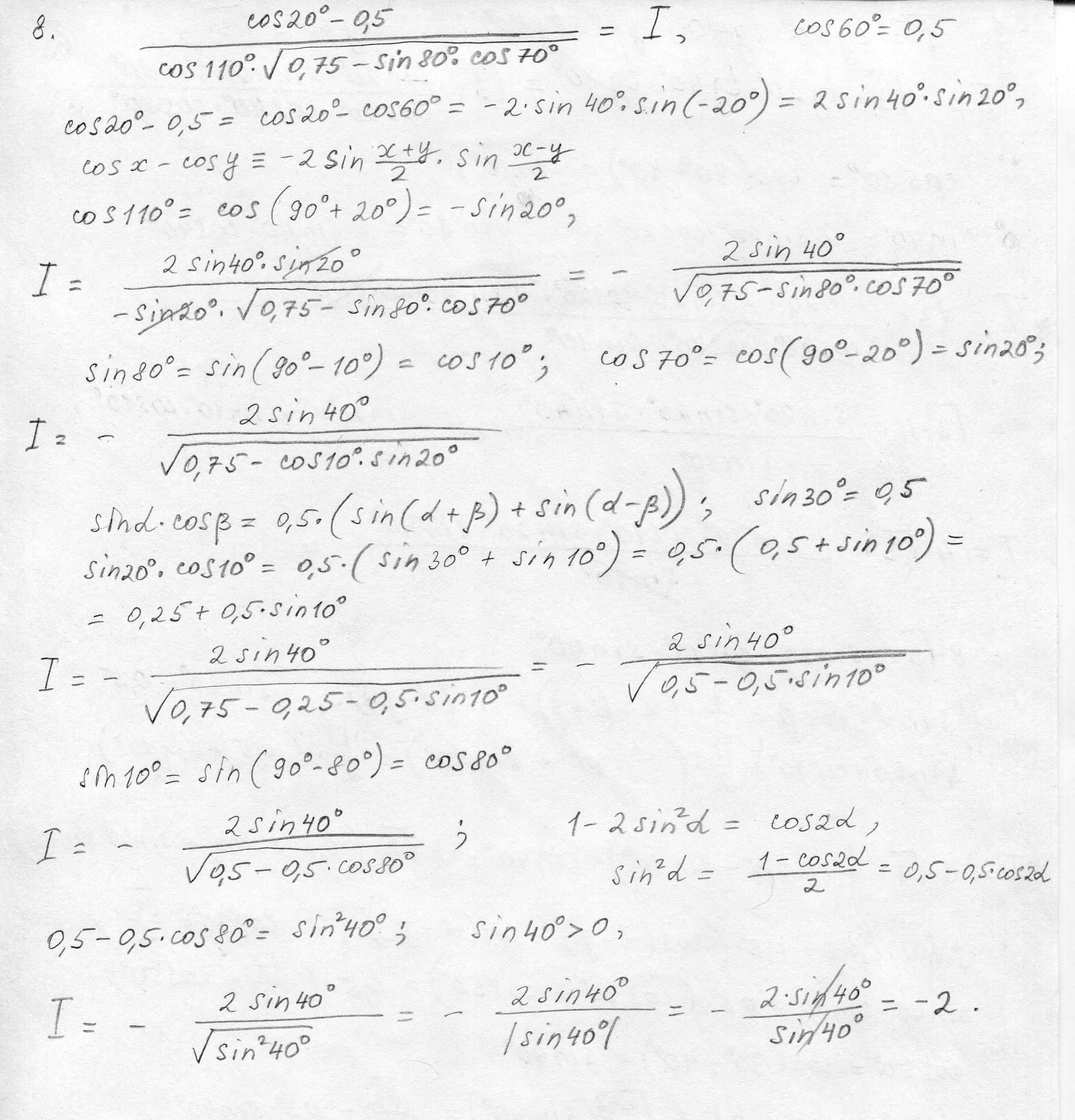
я написал решение на двух листках ===>>
Приложения:


Вас заинтересует
2 года назад
2 года назад
2 года назад
2 года назад
7 лет назад
7 лет назад
9 лет назад