• Предмет: Алгебра
  • Автор: pashagutorov00
  • Вопрос задан 3 года назад

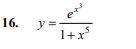
Найти производную y′ .

Приложения:

Ответы

Ответ дал: MatemaT123
0

Ответ:

\frac{3x^{2}e^{x^{3}}+3x^{7}e^{x^{3}}-5x^{4}e^{x^{3}}}{x^{10}+2x^{5}+1}

Объяснение:

y=\frac{e^{x^{3}}}{1+x^{5}};

Производная дроби находится по следующей формуле:

(\frac{u}{v})'=\frac{u'v-uv'}{v^{2}};

y'=(\frac{e^{x^{3}}}{1+x^{5}})';

y'=\frac{(e^{x^{3}})' \cdot (1+x^{5})-e^{x^{3}} \cdot (1+x^{5})'}{(1+x^{5})^{2}};

Функция

e^{x^{3}}

является сложной функцией. Производная сложной функции находится по следующей формуле:

(f(g(x)))'=f'(g(x)) \cdot g'(x),

отсюда получаем

(e^{x^{3}})'=(e^{x^{3}})' \cdot (x^{3})';

Если ввести замену

t=x^{3},

то выражение

e^{x^{3}}

преобразуется как

e^{t}.

Производная последнего выражения является табличным значением:

(e^{t})'=e^{t};

Возвращаясь к замене, получаем:

e^{x^{3}}.

Производная второго множителя находится по следующей формуле:

(x^{\alpha})'=\alpha x^{\alpha-1}, \quad \alpha \in \mathbb {R}.

(x^{3})'=3x^{3-1}=3x^{2};

Подставим полученные значения в произведение:

(e^{x^{3}})'=e^{x^{3}} \cdot 3x^{2}=3x^{2}e^{x^{3}};

Подставим значение этой производной в дробь:

y'=\frac{3x^{2}e^{x^{3}} \cdot (1+x^{5})-e^{x^{3}} \cdot (1+x^{5})'}{(1+x^{5})^{2}};

Производная суммы равна сумме производных:

(u+v)'=u'+v';

(1+x^{5})'=1'+(x^{5})';

1 — константа. Производная константы равна нулю.

(1+x^{5})'=0+(x^{5})'=5x^{5-1}=5x^{4};

y'=\frac{3x^{2}e^{x^{3}} \cdot (1+x^{5})-e^{x^{3}} \cdot 5x^{4}}{(1+x^{5})^{2}};

y'=\frac{3x^{2}e^{x^{3}}+3x^{7}e^{x^{3}}-5x^{4}e^{x^{3}}}{(1+x^{5})^{2}};

y'=\frac{3x^{2}e^{x^{3}}+3x^{7}e^{x^{3}}-5x^{4}e^{x^{3}}}{x^{10}+2x^{5}+1};

Вас заинтересует