Ответы
Ответ дал:
1
Ответ:
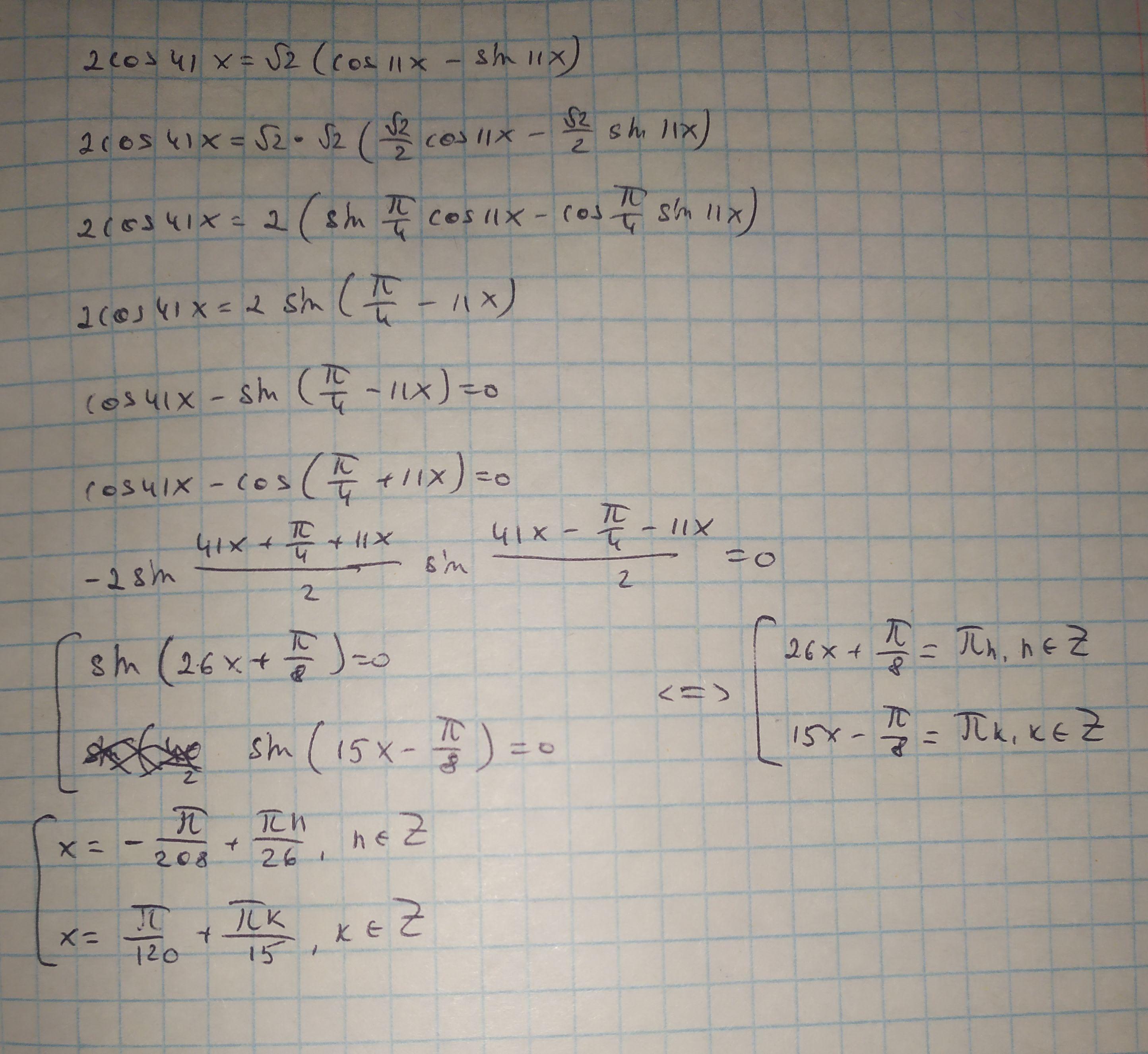
Решение на фото
Приложения:

bobrbobry:
каким образом -sin(π/4-11x) стал -cos(π/4+11x) ?
Вас заинтересует
2 года назад
2 года назад
2 года назад
7 лет назад
9 лет назад