• Предмет: Алгебра
  • Автор: BreaGamer
  • Вопрос задан 3 года назад

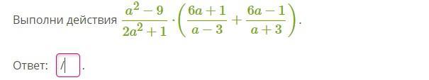
СРОЧНО ПОМОГИТЕ!!!ДАЮ 100 БАЛЛОВ

Приложения:

Ответы

Ответ дал: Аноним
1

Решение задания прилагаю

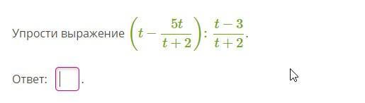
Приложения:

BreaGamer: Спасибо
BreaGamer: Решил на 5
Вас заинтересует