• Предмет: Алгебра
  • Автор: kantarbaeva95
  • Вопрос задан 3 года назад

пожалуйста у кого есть ответ помогитеее(((
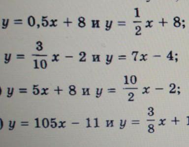
там на последнем x+15​

Приложения:

nktselepov: а сделать-то что нужно?
kantarbaeva95: да если поможете(
Dedagenn: решить систему?
kantarbaeva95: даааа

Ответы

Ответ дал: Dedagenn
0

Ответ:

1) бесконечное множество решений -для любых х у1=у2

3) к1=к2=5 графики параллельны и не пересекаются, общего решения нет


princess3532: Здравствуйте. И мне тоже помогите по алгебре пожалуйста
princess3532: пожалуйста пожалуйста пожалуйста пожалуйста пожалуйста пожалуйста пожалуйста пожалуйста пожалуйста пожалуйста пожалуйста пожалуйста пожалуйста пожалуйста пожалуйста пожалуйста пожалуйста
princess3532: вопрос я уже задала
princess3532: помогите пожалуйста
princess3532: )))))
Вас заинтересует