Определите сколько корней имеет каждое уравнение и найдите корни если они существуют
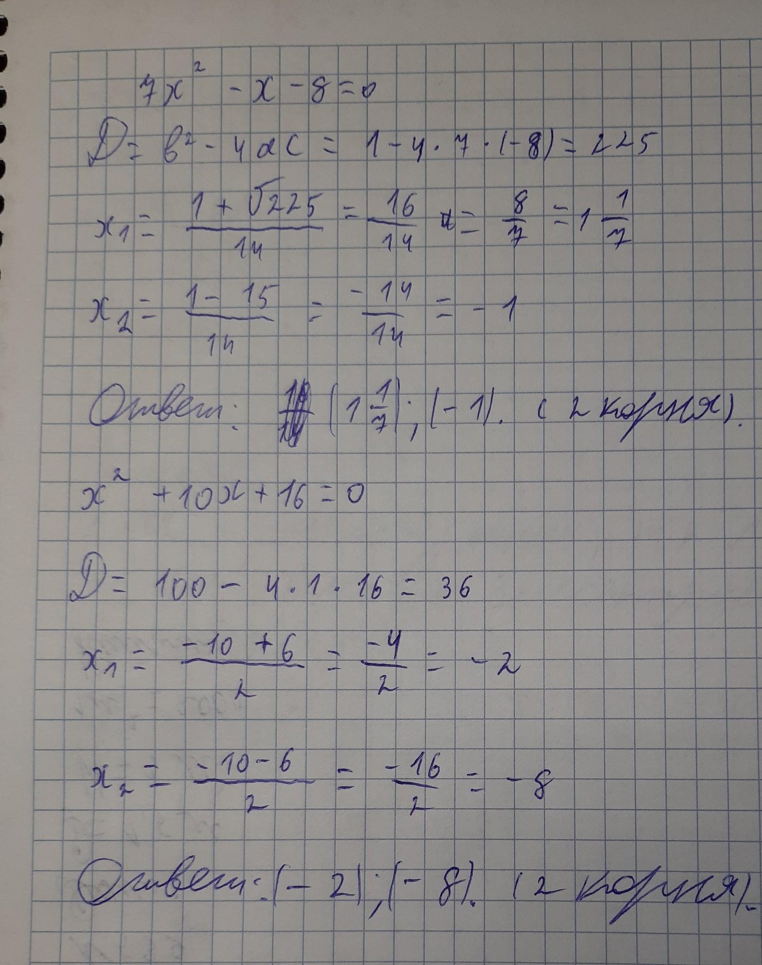
1) 7х в квадрате -х-8=0
2) х в квадрате +10х+16=0
Помогите мне пожалуйста пожалуйста :)
dimalevuskin430:
пожалуйста это СОР
Ответы
Ответ дал:
14
Ответ:
1). 2 корня
2). 2 корня
(т.к. дискриминант >0)
Приложения:

Вас заинтересует
2 года назад
2 года назад
7 лет назад
7 лет назад
9 лет назад
9 лет назад