решите уравнение (12 1/10-х)+4 1/5=7 1/15 помогите Срочно пожалуйста
fomov2007:
12 и 4,это целые числа?
Ответы
Ответ дал:
0
Ответ:
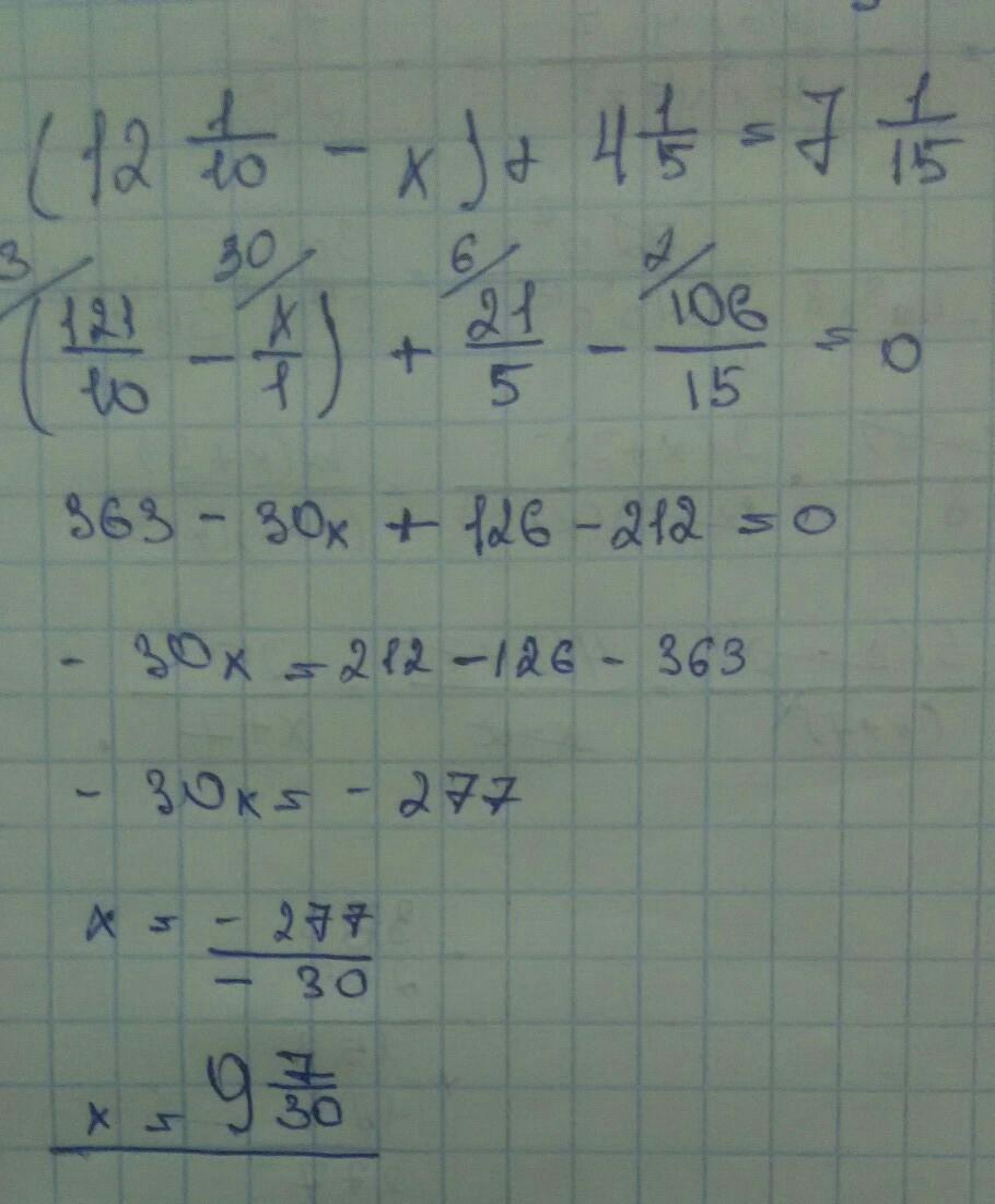
(12 1/10-x)+4 1/5=7 1/15
12 1/10-x=7 1/15-4 1/5
12 1/10-x=7 1/15-4 3/15
12 1/10-x=6 16/15-4 3/15
12 1/10-x=2 13/15
x=12 1/10-2 13/15
x=12 3/30-2 26/30
x=11 33/30-2 26/30
x=9 7/30
Ответ: x=9 7/30
Ответ дал:
0
Ответ:
9 7/30
Пошаговое объяснение:
Если 12,4 и 7 - целые числа,то
Поставь оценку ,если помог❤
И выбери лучший ответ
Кстати,за это тебе дадут 3B
Удачи
Приложения:

Вас заинтересует
2 года назад
2 года назад
2 года назад
2 года назад
7 лет назад
9 лет назад