• Предмет: Математика
  • Автор: larionovapolina584
  • Вопрос задан 3 года назад

Помогите пожалуйста с математикой даю 10 балов

Приложения:

Ответы

Ответ дал: Fggfxvfjj
0

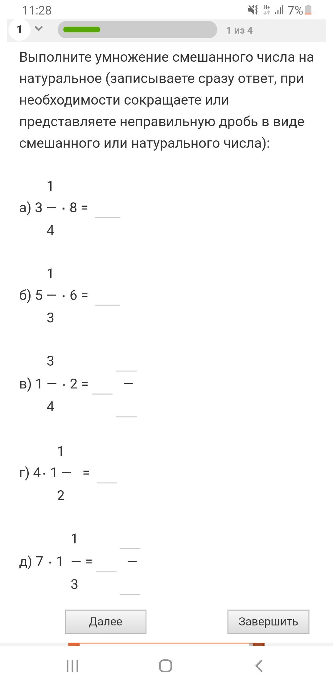
Ответ:

1)26,2)32,3)7/2,4)2,5)7/3

Пошаговое объяснение:

Вас заинтересует