• Предмет: Алгебра
  • Автор: Akdma
  • Вопрос задан 3 года назад

ОЧЕНЬ СРОЧНО!!
НА скриншоте

Приложения:

iimantai240: хммми

Ответы

Ответ дал: Miroslava227
1

Ответ:

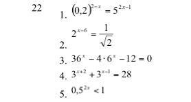
1) {(0.2)}^{2 - x}  =  {5}^{2 x - 1 } \\  {( \frac{1}{5}) }^{2 - x}  =  {5}^{2x - 1}  \\  {5}^{x - 2}  =  {5}^{2x - 1}  \\ x - 2 = 2x - 1 \\  - x = 1 \\ x =  - 1

2) {2}^{x - 6}  =  \frac{1}{ \sqrt{2} }  \\  {2}^{x - 6}  =  {2}^{  - \frac{1}{2} }  \\ x - 6 =  - 0.5 \\ x = 5.5

3) =  {36}^{x}  - 4 \times  {6}^{x}  - 12 = 0

Замена:

 {6}^{x}  = t, \: t > 0 \\  {t}^{2}  - 4t - 12 = 0 \\ D  = 16 + 48 = 64 \\ t1 = (4 + 8) \div 2 = 6 \\ t2 =  - 2

 {6}^{x}  = 6 \\ x = 1

второй корень не подходит, так как t>0.

Ответ: 1.

4) {3}^{2 + x}  +  {3}^{x - 1}  = 28 \\  {3}^{x - 1} ( {3}^{3}  + 1) = 28 \\  {3}^{x - 1}  \times 28 = 28 \\  {3}^{x - 1}  = 1 \\ x - 1 = 0 \\ x = 1

5) {(0.5)}^{2x}   < 1

0,5 < 1, поэтому знак меняется.

2x &gt; 0 \\ x &gt; 0


Akdma: Божечки! Огромное спасибо 。^‿^。
Вас заинтересует