• Предмет: Алгебра
  • Автор: hehsjsjs
  • Вопрос задан 3 года назад

распишите подробно решение неравенства, спасибо

Приложения:

Ответы

Ответ дал: Miroslava227
2

Ответ:

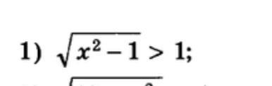
 \sqrt{ {x}^{2}  - 1 }  > 1

ОДЗ:

 {x}^{2}  - 1 >= 0 \\ (x - 1)(x + 1) >= 0

х принадлежит (-беск;-1]U[1;+беск).

Возведем обе части во 2 степень:

 {( \sqrt{ {x}^{2} - 1) } }^{2}  >  {1}^{2}  \\  {x}^{2}  - 1 > 1 \\  {x}^{2}  - 2 > 0 \\ (x -  \sqrt{2} )(x +  \sqrt{2} ) > 0

х принадлежит

( -  \infty;  -  \sqrt{2} )U( \sqrt{2}; +  \infty )

Пересекаем с ОДЗ и получаем ответ:

х принадлежит

( -  \infty ; -  \sqrt{2} )U( \sqrt{2}; +  \infty )

Вас заинтересует