• Предмет: Математика
  • Автор: golubgolubkin
  • Вопрос задан 3 года назад

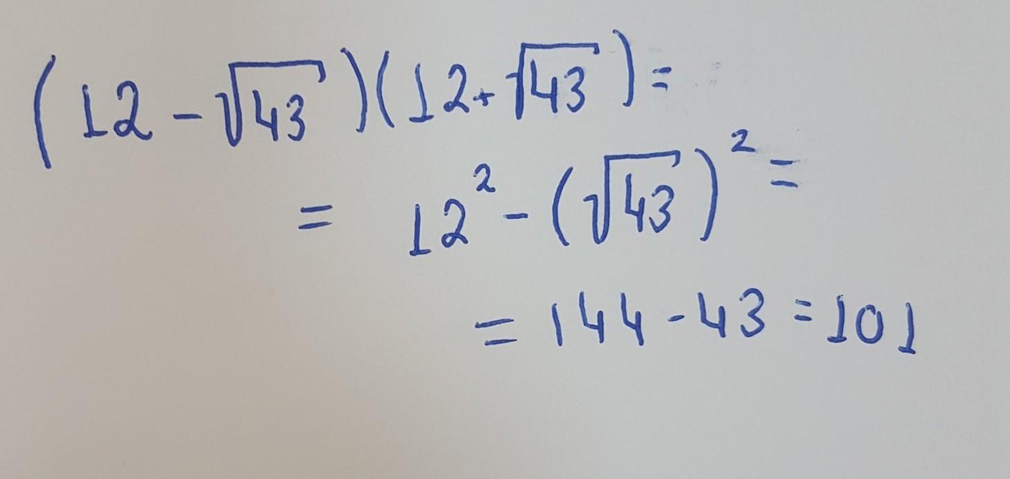
Упрости выражение: (12−43√)⋅(12+43√)

Ответы

Ответ дал: vityamath
1

Пошаговое объяснение:

решенре на фотке.........

Приложения:

steepercomtube: Эмм, упростить нужно а не решить
Вас заинтересует