• Предмет: Математика
  • Автор: jkolijkoli1
  • Вопрос задан 3 года назад

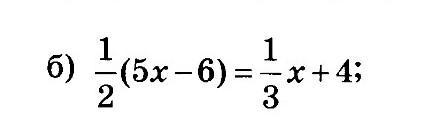
Помогите решить это уравнение​

Приложения:

Ответы

Ответ дал: marietahayrapetyan
0

Ответ:

Пошаговое объяснение:


jkolijkoli1: классно
Вас заинтересует