• Предмет: Алгебра
  • Автор: olya123123olya
  • Вопрос задан 10 лет назад

Помогите!
установите область определения функции y=arcsin(x-2)

Ответы

Ответ дал: den4ik1992
0
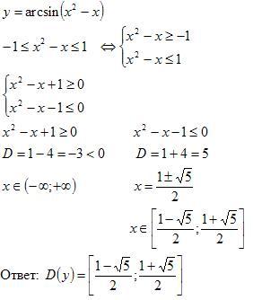
кааааааааааааааааааааааааааааааааааааааааааааааак то так
Приложения:
Вас заинтересует