• Предмет: Информатика
  • Автор: danilKashin2006
  • Вопрос задан 3 года назад

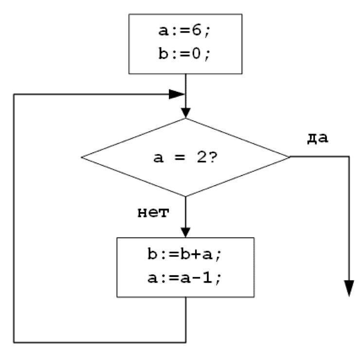
3. Определите значения переменной b после выполнения фрагмента алгоритма

Приложения:

Ответы

Ответ дал: ruslanvorobev
1

Ответ:

18

Объяснение:

подставить числа и выполнять цикл до того как а не станет равно двум

Вас заинтересует