Ответы
Ответ дал:
1
Ответ:
Пошаговое объяснение:
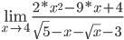
Здесь нет неопределённости, просто поставляем х=4
Приложения:

FLAME2003:
спасибо
Вас заинтересует
2 года назад
2 года назад
2 года назад
7 лет назад
7 лет назад
9 лет назад
9 лет назад