Ответы
Ответ дал:
0
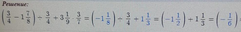
Ответ:
вот ответ!!!!!!!!!!!!!!
Приложения:

Вас заинтересует
2 года назад
2 года назад
7 лет назад