• Предмет: Алгебра
  • Автор: nod9891
  • Вопрос задан 3 года назад

ПОМОГИТЕ решить алгебру за 7 класс

Приложения:

Ответы

Ответ дал: SaraLime
1

Ответ:

Объяснение:

1) 27  6) 9

2) 58   7) -2

3) -5    8) 0.8

4) 16     9) 0.5

5) -19     10) 0.7


nod9891: а полный ответ?
Ответ дал: RussianWanderer
1

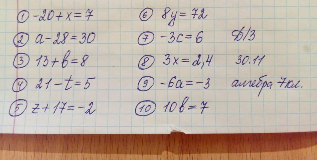
1) -20+x = 7

x = 7+20

x = 27

2) a-28 = 30

a = 30+28

a = 58

3) 13+b = 8

b = 8-13

b = -5

4) 21-t = 5

-t = 5-21

t = 16

5) z+17 = -2

z = -2-17

z = -19

6) 8y = 72

y = 72/8

y = 9

7) -3c = 6

c = 6/(-3)

c = -2

8) 3x = 2,4

x = 2,4/3

x = 0,8

9) -6a = -3

a = -3/(-6)

a = 0,5

10) 10b = 7

b = 7/10

b = 0,7


nod9891: спасибо бро
nod9891: просто лучший
Вас заинтересует